The distributive property combines
The Distributive Property Combines. Keep simplifying until all expressions, like 6 + 30, are simplified into values, like 36. Unfortunately, in the last year, adblock has now begun disabling almost all images from loading on our site, which has lead to mathwarehouse becoming unusable for adlbock users. Distributive property and combining like terms worksheets are a great resource for students to implement the understanding of solving algebraic expressions. The distributive property of multiplication over subtraction:
Distributive Property & Combining Like terms From slideshare.net
Apply the distributive property wherever you have parentheses. The distributive property is the same as the distributive property of multiplication, and it can be used over addition or subtraction. By practicing to combine like terms and using the distributive property over parenthesis, students can easily establish the key skills required to solve algebraic equations and functions. Here are examples of the distributive property of multiplication at work: Formally, the distributive property is defined as {eq}a(b+c) = a(b. A1.1.6 simplify numerical expressions, including those involving radicals and absolute values;
The distributive property states that when a factor is multiplied by the sum/addition of two terms, it is essential to multiply each of the two numbers by the factor, and finally perform the addition.
A1.1.1 identify and use the properties of operations on real numbers, including commutative, associative, distributive, and identity and inverse elements for addition and multiplication; You still must distribute first and then combine like terms before solving the equation. Use the subtraction property of inequality. Eg 2 * 8 * 5 * 7 if you do that in order, then you have 2 * 8 * 5 * 7 = 16 * 5 * 7 = 80 * 7 = 560. The clean sticky is a reminder that college students may create their very own representations; In simple words, when a number is multiplied by the sum of two numbers, then the product is the same as the product that we get when the number is distributed to the two numbers inside the brackets and.
Source: youtube.com
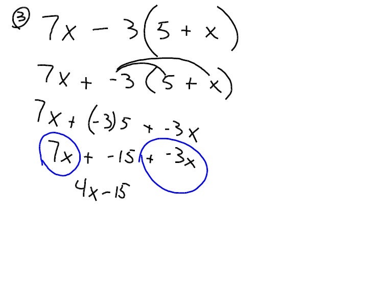
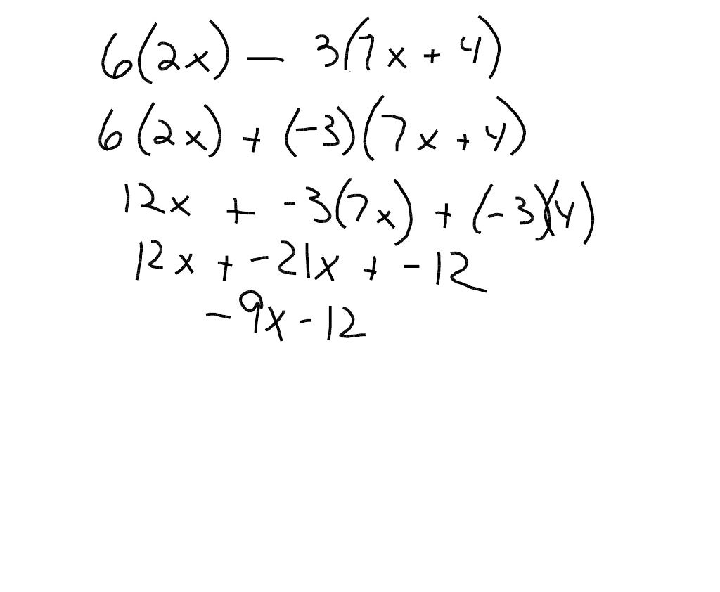
This algebra video tutorial explains how to combine like terms using the distributive property. This next example looks more confusing because the distributive property comes right in the middle of the equation. You still must distribute first and then combine like terms before solving the equation. If a child has trouble answering 45, use smaller arrays and rewrite the expression as 4 (3+2) or (43)+ (42). In simple words, when a number is multiplied by the sum of two numbers, then the product is the same as the product that we get when the number is distributed to the two numbers inside the brackets and.
Source: slideshare.net
The procedure to use the distributive property calculator is as follows: You still must distribute first and then combine like terms before solving the equation. Distributive property and combining like terms worksheets are a great resource for students to implement the understanding of solving algebraic expressions. The distributive property of multiplication over subtraction: 45 distributive property with variables worksheet in 2020 (with photos from www.pinterest.com.
Source: slideshare.net
It contains plenty of examples and practice problems.my webs. 45 distributive property with variables worksheet in 2020 (with photos from www.pinterest.com. Eg 2 * 8 * 5 * 7 if you do that in order, then you have 2 * 8 * 5 * 7 = 16 * 5 * 7 = 80 * 7 = 560. This algebra video tutorial explains how to combine like terms using the distributive property. Now click the button “submit” to get the simplified expression.
Source: slideshare.net
Distributive property and combining like terms worksheets are a great resource for students to implement the understanding of solving algebraic expressions. That is if a b and c. In this lesson, i will show you how to apply distributive property of multiplication over both operations addition and subtraction and simplifying the result using combine like terms rule. That’s not hard, but not trivial either after the first one, because people don’t learn. It contains plenty of examples and practice problems.my webs.
Source: youtube.com
Section 2.4 combine like terms and distributive property. You still must distribute first and then combine like terms before solving the equation. The distributive property of multiplication over subtraction: It contains plenty of examples and practice problems.my webs. The distributive property states that when a factor is multiplied by the sum/addition of two terms, it is essential to multiply each of the two numbers by the factor, and finally perform the addition.
Source: slideshare.net
By practicing to combine like terms and using the distributive property over parenthesis, students can easily establish the key skills required to solve algebraic equations and functions. That’s where distributive property helps. The distributive property is an algebraic property that is used to multiply a single value and two or more values within a set of parenthesis. _____ distributive property key vocabulary _____ _____ are expressions that will yield the same answer when you plug the same value in for the Check out the example below on indulgy:
Source: youtube.com
Unit 1 1 distributive property and combining like terms date: Rewrite the equation after each round of simplifying. A1.1.6 simplify numerical expressions, including those involving radicals and absolute values; The procedure to use the distributive property calculator is as follows: It contains plenty of examples and practice problems.my webs.
Source: pinterest.com
What’s the awnser tothe distributive property combines clean and clean to make multiplying complete numbers eaiser? The distributive property is the same as the distributive property of multiplication, and it can be used over addition or subtraction. Now click the button “submit” to get the simplified expression. Use the subtraction property of inequality. Here are examples of the distributive property of multiplication at work:
Source: prodigygame.com
The distributive property of multiplication over subtraction: 45 distributive property with variables worksheet in 2020 (with photos from www.pinterest.com. In simple words, when a number is multiplied by the sum of two numbers, then the product is the same as the product that we get when the number is distributed to the two numbers inside the brackets and. Distributive property and combining like terms worksheets are a great resource for students to implement the understanding of solving algebraic expressions. Finally, the simplification of the given expression will be displayed in a new window.
Source: slideshare.net
Keep simplifying until all expressions, like 6 + 30, are simplified into values, like 36. Distributive property & combining like terms 1. The distributive property of multiplication over subtraction: Unit 1 1 distributive property and combining like terms date: Multi step equations with variables on e side task cards 8 ee c from distributive property and combining like terms worksheet.
Source: mathsux.org
Here are examples of the distributive property of multiplication at work: In simple words, when a number is multiplied by the sum of two numbers, then the product is the same as the product that we get when the number is distributed to the two numbers inside the brackets and. A1.1.1 identify and use the properties of operations on real numbers, including commutative, associative, distributive, and identity and inverse elements for addition and multiplication; The distributive property of multiplication which holds true for addition and subtraction helps to distribute the given number on the operation to solve the given equation easily. Multiply, or distribute, the outer term to the inner terms.
Source: youtube.com
_____ distributive property key vocabulary _____ _____ are expressions that will yield the same answer when you plug the same value in for the Unit 1 1 distributive property and combining like terms date: The distributive property of multiplication is a property that allows the use of multiplication over addition and subtraction. Use the distributive property to make solving tough multiplication problems easier. A1.1.1 identify and use the properties of operations on real numbers, including commutative, associative, distributive, and identity and inverse elements for addition and multiplication;
Source: youtube.com
Enter an expression of the form a (b+c) in the input field. If a child has trouble answering 45, use smaller arrays and rewrite the expression as 4 (3+2) or (43)+ (42). Unit 1 1 distributive property and combining like terms date: Distributive property & combining like terms 1. Eg 2 * 8 * 5 * 7 if you do that in order, then you have 2 * 8 * 5 * 7 = 16 * 5 * 7 = 80 * 7 = 560.
Source: showme.com
The distributive property of multiplication is a property that allows the use of multiplication over addition and subtraction. Rewrite the equation after each round of simplifying. Here are examples of the distributive property of multiplication at work: Check out the example below on indulgy: The distributive property of multiplication over subtraction:
Source: youtube.com
The distributive property states that when a factor is multiplied by the sum/addition of two terms, it is essential to multiply each of the two numbers by the factor, and finally perform the addition. Now click the button “submit” to get the simplified expression. That’s not hard, but not trivial either after the first one, because people don’t learn. Apply the distributive property wherever you have parentheses. The only reason i can think of is that you can juggle the numbers around to make it easier.
Source: novenalunasolitaria.blogspot.com
If a child has trouble answering 45, use smaller arrays and rewrite the expression as 4 (3+2) or (43)+ (42). Formally, the distributive property is defined as {eq}a(b+c) = a(b. Use the distributive property to make solving tough multiplication problems easier. In simple words, when a number is multiplied by the sum of two numbers, then the product is the same as the product that we get when the number is distributed to the two numbers inside the brackets and. A1.1.6 simplify numerical expressions, including those involving radicals and absolute values;
Source: slideshare.net
The distributive property states that when a factor is multiplied by the sum/addition of two terms, it is essential to multiply each of the two numbers by the factor, and finally perform the addition. That is if a b and c. Multiply, or distribute, the outer term to the inner terms. Section 2.4 combine like terms and distributive property. In simple words, when a number is multiplied by the sum of two numbers, then the product is the same as the product that we get when the number is distributed to the two numbers inside the brackets and.
Source: youtube.com
What’s the awnser tothe distributive property combines clean and clean to make multiplying complete numbers eaiser? Check out the example below on indulgy: That’s not hard, but not trivial either after the first one, because people don’t learn. What’s the awnser tothe distributive property combines clean and clean to make multiplying complete numbers eaiser? The procedure to use the distributive property calculator is as follows:
If you find this site convienient, please support us by sharing this posts to your own social media accounts like Facebook, Instagram and so on or you can also bookmark this blog page with the title the distributive property combines by using Ctrl + D for devices a laptop with a Windows operating system or Command + D for laptops with an Apple operating system. If you use a smartphone, you can also use the drawer menu of the browser you are using. Whether it’s a Windows, Mac, iOS or Android operating system, you will still be able to bookmark this website.



