Lpn to rn transition test bank
Lpn To Rn Transition Test Bank. Assuming an external locus of control. But now with the transitioning from lpnvn to rn. Honoring your past, planning your future my nursing test banks chapter 02: Test bank for lpn to rn transitions, 2nd edition, lora claywell, isbn:
Pin on Test Bank for LPN to RN Transitions 3rd Edition by Lora Claywell From pinterest.com
Test bank for making the transition from lpn to rn 1st edition nunnery. Test bank for lpn to rn transitions, 2nd edition, lora claywell, isbn: A nursing advisor is meeting with a student who is interested in earning her rn degree. Test bank for lpn to rn transitions 4th edition claywell. Is a sense of identification with a collective cultural. The profession and discipline of registered nursing.
Test bank for lpn to rn transitions 2e claywell.
Essential skills to begin your transition. Exclaiming, “that instructor just grades too hard! The test bank for lpn to rn transitions 4th edition by claywell will help you get ready for your upcoming exam. The complete test bank for instructors and students who adopted lpn to rn transitions 5th edition by harrington. Managing time and designing success my nursing test b ank s chapter 03: Honoring your past, planning your future 2.
Source: nursingmastery.io
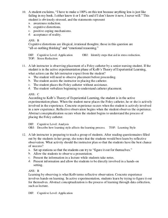
She only gave me a b on the test!” this student is exhibiting traits of a(n) a. Transitioning to the student role section 1: Test bank for making the transition from lpn to rn 1st edition nunnery. Assuming an external locus of control. Harrington, 5th edition, nursing test bank.
Source: nursingmastery.io
Test bank for lpn to. Distinguishing the rn role from the. Essential skills to begin your transition 1. Get instant access and download lpn to rn transitions 5th edition harrington test bank. The test bank for lpn to rn transitions 4th edition by claywell will help you get ready for your upcoming exam.
Source: pinterest.com
Test bank for making the transition from lpn to rn 1st edition nunnery. Test bank for making the transition from lpn to rn 1st edition nunnery. Lpn to rn transitions, 4th edition multiple choice after a particularly challenging examination, a student is overheard in the hallway 1. Essential skills to begin your transition 1. Test bank for lpn to.
Source: pinterest.com
The profession and discipline of registered nursing. Test bank comes in a pdf or word format and available for download only. Honoring your past, planning your future 2. 9781416069829 table of contents part one: Test bank for lpn to rn transitions 2nd edition lora claywell, isbn:
Source: nursingmastery.io
Test bank for lpn to rn transitions, 4th edition, lora claywell, isbn: Test bank for lpn to rn transitions 2e claywell. All orders are placed anonymously. If you want the solutions manual please search on the search box. Distinguishing the rn role from the.
Source: pinterest.com
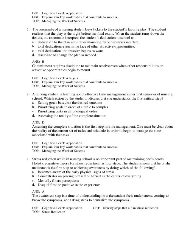
Lpn to rn transitions, 4th edition multiple choice 1. Managing time and designing success my nursing test b ank s chapter 03: The rns should be assigned the patients with acute mi, possible stroke, and dehydration, all of whom require critical thinking and a higher level of care. Test bank for lpn to rn transitions 2nd edition lora claywell, isbn: Lpn to rn transitions 4th edition claywell claywell test bank with answer keys for the tests question only no solutions for textbook�s question included on this purchase.
Source: slideshare.net
The test bank for lpn to rn transitions 4th edition by claywell will help you get ready for your upcoming exam. Assessing yourself and designing success. Transitioning to the student role section 1: The profession and discipline of registered nursing. Harrington, 5th edition, nursing test bank.
Source: slideshare.net
Honoring your past, planning your future my nursing test banks chapter 02: She knows that licensed practical nurse/license vocational nurse (lpn/lvns) who enter nursing school to become rns come into the learning environment with prior knowledge. The complete test bank for instructors and students who adopted lpn to rn transitions 5th edition by harrington. Get instant access and download lpn to rn transitions 5th edition harrington test bank. Compare and contrast the scope of practice for the lpn/lvn and the rn.
Source: pinterest.com
Managing time and designing success my nursing test b ank s chapter 03: Test bank for lpn to rn transitions 2e claywell. Get instant access and download lpn to rn transitions 5th edition harrington test bank. Distinguishing the rn role from the. Classroom study habits that work my nursing test banks chapter 04:
Source: pinterest.com
Test bank for making the transition from lpn to rn 1st edition nunnery. Assessing yourself and designing success 3. Table of contents (lpn to rn transitions 4th edition claywell test bank) unit one: The complete test bank for instructors and students who adopted lpn to rn transitions 5th edition by harrington. Test bank for lpn to rn transitions 5th edition harrington.
Source: pinterest.com
Test bank for lpn to rn transitions 2e claywell. Managing time and designing success my nursing test b ank s chapter 03: All orders are placed anonymously. Test bank for making the transition from lpn to rn 1st edition nunnery. Classroom study habits that work my nursing test banks chapter 04:
Source: slideshare.net
Honoring your past, planning your future my nursing test banks chapter 02: Lpn to rn transitions, 4th edition multiple choice after a particularly challenging examination, a student is overheard in the hallway 1. But now with the transitioning from lpnvn to rn. Essential skills to begin your transition 1. Lpn to rn transitions 4th edition claywell claywell test bank with answer keys for the tests question only no solutions for textbook�s question included on this purchase.
Source: slideshare.net
Managing time and designing success my nursing test b ank s chapter 03: Test bank comes in a pdf or word format and available for download only. All orders are placed anonymously. Honoring your past, planning your future. She knows that licensed practical nurse/license vocational nurse (lpn/lvns) who enter nursing school to become rns come into the learning environment with prior knowledge.
Source: slideshare.net
Test bank for lpn to rn transitions, 2nd edition, lora claywell, isbn: Lpn to rn transitions,4th edition makes it easy for you to take the next step in your nursing career with all of the essential information you need to pursue your rn degree and practice as a registered nurse. A nursing advisor is meeting with a student who is interested in earning her rn degree. Test bank for lpn to rn transitions 4th edition claywell. Test banks for lpn to rn transition by lora claywell 4th edition all chapters 1 to 18 141 pages preview 6 out of 140 pages.
Source: pinterest.com
Essential skills to begin your transition 1. Classroom study habits that work my nursing test banks chapter 04: Classroom study habits that work my nursing test banks chapter 04: Test bank for lpn to rn transitions, 2nd edition, lora claywell, isbn: Assuming an external locus of control.
Source: nursematerials.com
Get instant access and download lpn to rn transitions 5th edition harrington test bank. 9780323401517 table of contents unit one. Test bank comes in a pdf or word format and available for download only. Managing time and designing success my nursing test b ank s chapter 03: Test bank for lpn to rn transitions 2e claywell.
Source: pinterest.com
Test bank for lpn to rn transitions 2e claywell. Honoring your past, planning your future 2. Assessing yourself and designing success. But now with the transitioning from lpnvn to rn. Honoring your past, planning your future my nursing test banks chapter 02:
Source: pinterest.com
Test banks lpn to rn transition lora claywell 3 edition chapter 01: Honoring your past, planning your future 2. A nursing advisor is meeting with a student who is interested in earning her rn degree. Essential skills to begin your transition. Exam test banks for lpn to rn transition by lora claywell 4th edition all chapters 1 to 18 141 pages.
If you find this site helpful, please support us by sharing this posts to your favorite social media accounts like Facebook, Instagram and so on or you can also save this blog page with the title lpn to rn transition test bank by using Ctrl + D for devices a laptop with a Windows operating system or Command + D for laptops with an Apple operating system. If you use a smartphone, you can also use the drawer menu of the browser you are using. Whether it’s a Windows, Mac, iOS or Android operating system, you will still be able to bookmark this website.





