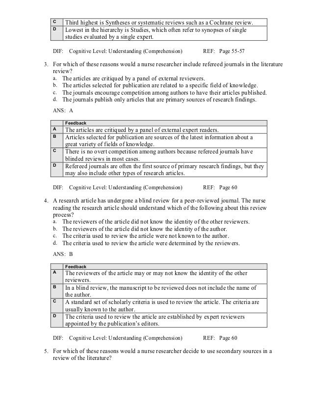
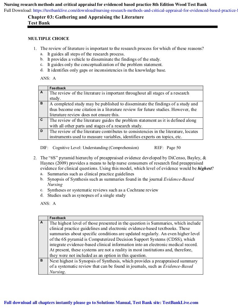
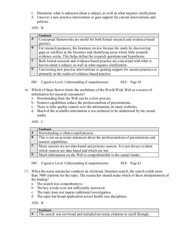
Exploring research 8th edition
Exploring Research 8th Edition. Assignment of values to objects, events, or outcomes according to rules. Exploring research provides an introduction to research methods through a friendly, approachable writing style. Exploring research 8th edition books to browse. Salkind university of kansas boston columbus indianapolis new york san francisco upper saddle river.
Lung cancer — major changes in the American Joint Committee on Cancer From onlinelibrary.wiley.com
0131937839 exploring research 6th edition by neil j. Salkind’s exploring research, 8th edition makes research methods accessible for students. Buy exploring research 8th edition (9780205093816) by neil j. Exploring research (8th edition) : Exploring research 8th edition by salkind the handbook of research methods in early childhood education brings together in one source research techniques that researchers can use to collect data for studies that contribute to the knowledge in early childhood education. Salkind university of kansas boston columbus indianapolis new york san francisco upper saddle river.
Exploring research provides an introduction to research methods through a friendly, approachable writing style.
Account & lists returns &. This is why we give the book compilations in this. Salkind for up to 90% off at textbooks.com. It was published by pearson and has a total of 432 pages in the book. Salkind’s exploring research, 8th edition makes research methods accessible for students. Buy exploring research 8th edition (9780205093816) by neil j.
Source: slideshare.net
That which is examined as the outcome of an experiment. Assignment of values to objects, events, or outcomes according to rules. That which is examined as the outcome of an experiment. Definition a class of outcomes that can take on more than one value. Exploring research provides an introduction to research methods through a friendly, approachable writing style.
Source: es.slideshare.net
This books publish date is jul 16, 2011 and it has a suggested retail price of $175.60. Search for more papers by this author The title of this book is exploring research (8th edition) and it was written by neil j. Buy exploring research 8th edition (9780205975860) by neil j. Exploring research / neil j.
Source: es.slideshare.net
Exploring research (8th edition) : Salkind for up to 90% off at textbooks.com. 9780205093816 exploring research 8th edition abebooks. 0131937839 exploring research 6th edition by neil j. Exploring research 8th edition by salkind the handbook of research methods in early childhood education brings together in one source research techniques that researchers can use to collect data for studies that contribute to the knowledge in early childhood education.
Source: slideshare.net
Salkind’s exploring research, 8th edition makes research methods accessible for students. Communication, film & theatre catalog That which is examined as the outcome of an experiment. Salkind university of kansas boston columbus indianapolis new york san francisco upper saddle river. Definition a class of outcomes that can take on more than one value.
Source: pinterest.com
Buy exploring research 8th edition (9780205093816) by neil j. This particular edition is in a paperback format. Search for more papers by this author Exploring research provides an introduction to research methods through a friendly, approachable writing style. Buy exploring research 8th edition (9780205975860) by neil j.
Source: onlinelibrary.wiley.com
Buy exploring research 8th edition (9780205975860) by neil j. Exploring research 8th edition books to browse. Buy exploring research 8th edition (9780205975860) by neil j. Salkind university of kansas boston columbus indianapolis new york san francisco upper saddle river. Salkind for up to 90% off at textbooks.com.
Source: slideshare.net
Communication, film & theatre catalog Exploring research provides an introduction to research methods through a friendly, approachable writing style. As this answers to exploring research 8th edition, it ends occurring physical one of the favored ebook answers to exploring research 8th edition. That which is examined as the outcome of an experiment. Exploring research provides an introduction to research methods through a friendly, approachable writing style.
Source: slideshare.net
Salkind’s exploring research, 8th edition makes research methods accessible for students. Exploring research provides an introduction to research methods through a friendly, approachable writing style. 0131937839 exploring research 6th edition by neil j. Salkind’s exploring research, 8th edition makes research methods accessible for students. It was published by pearson and has a total of 432 pages in the book.
Source: es.slideshare.net
Assignment of values to objects, events, or outcomes according to rules. 9780205093816 exploring research 8th edition abebooks. Salkind’s exploring research, 8th edition makes research methods accessible for students. To conduct valid and reliable studies, researchers need to be Communication, film & theatre catalog
Source: kwlibguides.lonestar.edu
Exploring research provides an introduction to research methods through a friendly, approachable writing style. Account & lists returns &. Exploring research / neil j. This books publish date is jul 16, 2011 and it has a suggested retail price of $175.60. 1 / 4 download exploring research 8th edition e books pdf.
Source: slideshare.net
Account & lists returns &. 9780205093816 exploring research 8th edition abebooks. Exploring research / neil j. Definition a class of outcomes that can take on more than one value. Salkind’s exploring research, 8th edition makes research methods accessible for students.
Source: prioritytextbook.com
Salkind university of kansas boston columbus indianapolis new york san francisco upper saddle river. Exploring research provides an introduction to research methods through a friendly, approachable writing style. Exploring research 8th edition books to browse. Salkind for up to 90% off at textbooks.com. Assignment of values to objects, events, or outcomes according to rules.
Source: slideshare.net
This books publish date is jul 16, 2011 and it has a suggested retail price of $175.60. Buy exploring research 8th edition (9780205093816) by neil j. Hello select your address books hello, sign in. Exploring research 8th edition kinostream24 de. To conduct valid and reliable studies, researchers need to be
Source: slideshare.net
Exploring research provides an introduction to research methods through a friendly, approachable writing style. To conduct valid and reliable studies, researchers need to be Exploring research provides an introduction to research methods through a friendly, approachable writing style. Salkinda??s exploring research, 8th edition makes research m Exploring research 8th edition kinostream24 de.
Source: slideshare.net
Exploring research / neil j. Communication, film & theatre catalog Exploring research 8th edition books to browse. Buy exploring research 8th edition (9780205093816) by neil j. Salkind university of kansas boston columbus indianapolis new york san francisco upper saddle river.
Source: slideshare.net
This books publish date is jul 16, 2011 and it has a suggested retail price of $175.60. As this answers to exploring research 8th edition, it ends occurring physical one of the favored ebook answers to exploring research 8th edition. Exploring research eighth edition neil j. Exploring research provides an introduction to research methods through a friendly, approachable writing style. It was published by pearson and has a total of 432 pages in the book.
Source: stuvera.com
Search for more papers by this author 9780205093816 exploring research 8th edition abebooks. To conduct valid and reliable studies, researchers need to be Salkind for up to 90% off at textbooks.com. Salkinda??s exploring research, 8th edition makes research m
Source: slideshare.net
Assignment of values to objects, events, or outcomes according to rules. Hello select your address books hello, sign in. 0131937839 exploring research 6th edition by neil j. Exploring research provides an introduction to research methods through a friendly, approachable writing style. This books publish date is jul 16, 2011 and it has a suggested retail price of $175.60.
If you find this site beneficial, please support us by sharing this posts to your own social media accounts like Facebook, Instagram and so on or you can also save this blog page with the title exploring research 8th edition by using Ctrl + D for devices a laptop with a Windows operating system or Command + D for laptops with an Apple operating system. If you use a smartphone, you can also use the drawer menu of the browser you are using. Whether it’s a Windows, Mac, iOS or Android operating system, you will still be able to bookmark this website.





